首頁
便利貼(搖搖樂)
愛北大FB
愛北大 唯讀圖書館
首頁
»
麗寶世紀館
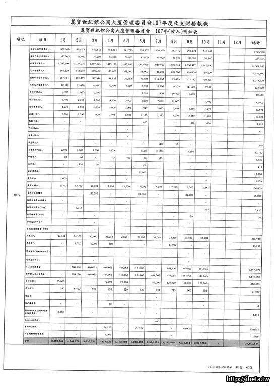
第八屆107-10收支月報表&107年度財務報表
waitai
2018-11-28 10:09 · 樓主
第八屆107-10收支月報表&107年度財務報表