首頁
便利貼(搖搖樂)
愛北大FB
愛北大 唯讀圖書館
首頁
»
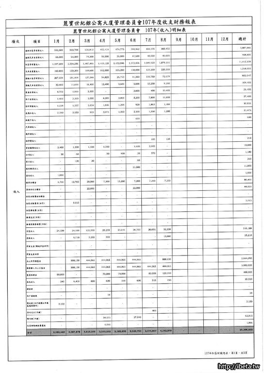
麗寶世紀館
第八屆107-08收支月報表&107年度財務報表
waitai
2018-09-24 11:26 · 樓主
第八屆107-08收支月報表&107年度財務報表