首頁
便利貼(搖搖樂)
愛北大FB
愛北大 唯讀圖書館
首頁
»
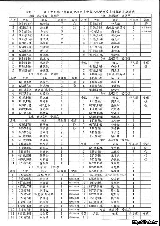
麗寶世紀館
第八屆區分所有權人會議紀錄
waitai
2018-03-13 14:32 · 樓主
第八屆區分所有權人會議紀錄