首頁
便利貼(搖搖樂)
愛北大FB
愛北大 唯讀圖書館
首頁
»
麗寶世紀館
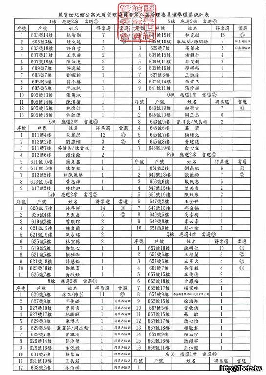
106086 第八屆管理委員會選委員舉結果說明
waitai
2018-03-13 14:05 · 樓主
106086 第八屆管理委員會選委員舉結果說明