首頁
便利貼(搖搖樂)
愛北大FB
愛北大 唯讀圖書館
首頁
»
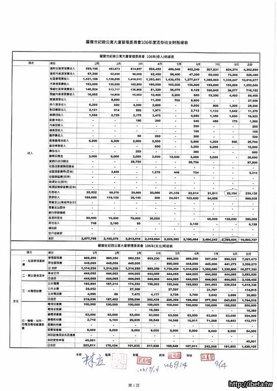
麗寶世紀館
第七屆106-08收支月報表&106年度財務報表
waitai
2018-03-09 16:45 · 樓主
第七屆106-08收支月報表&106年度財務報表