首頁
便利貼(搖搖樂)
愛北大FB
愛北大 唯讀圖書館
首頁
»
麗寶世紀館
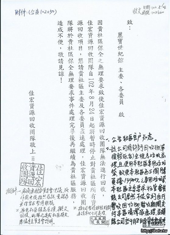
資源回收改清潔隊收運請確實分類
物管中心
2013-08-26 00:14 · 樓主
公告102050資源回收改清潔隊收運請確實分類
黑麻麻
2013-08-26 08:46 · 2樓
這垃圾場的問題是真的要好好處理一番了
物業及清潔人員辛苦囉!
waitai
2013-08-26 10:49 · 3樓
回收商真是吃人夠夠...............
管委會要硬起來 挺一下物管
小徐
2013-08-26 11:07 · 4樓
禮拜六看到物管經理跟保全在回收間整理,感謝有你們!